• Das Team
  • Kia Kahawa (Person)
    • Bücher
      • Die Krankheiten-sammlerin
      • Hanover’s Blind
      • Nachklang der Hoffnung
      • Die Logfiles-Trilogie
  • Blog
  • Autoren an die Steuer
  • Häufig gestellte Fragen
Kahawa Verlagsdienstleistungen
  • Full Service
  • Lösungen
    • Lektorat
    • Korrektorat
    • Buchsatz
    • Coverdesign
    • E-Book
  • Termin vereinbaren
Seite wählen

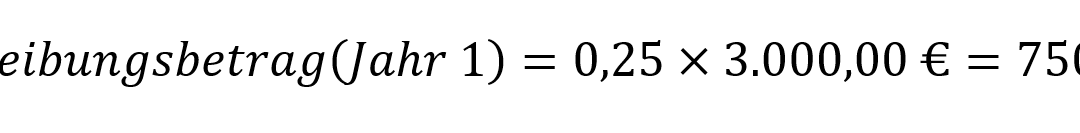
degressive abschreibung 2021 (8)

von Kia Kahawa | 17. März 2021 | 0 Kommentare

Kommentar absenden Antwort abbrechen

Deine E-Mail-Adresse wird nicht veröffentlicht. Erforderliche Felder sind mit * markiert

Kontaktinfos

Erstgespräch anfragen!

team@kahawa.de

+49(0) 511 – 95699 19

Leistungen

Full Service

Lektorat

Korrektorat

Buchsatz

Coverdesign

E-Book

Ressourcen

Zeitplan für dein Selfpublishing

Das Buchprofi-Lexikon

Autoren an die Steuer

Kahawa Medien GmbH, Hannover | Alle Rechte vorbehalten

Datenschutz

Impressum

This site is not a part of the Facebook TM website or Facebook TM Inc. Additionally, this site is NOT endorsed by FacebookTM in any way. FACEBOOK TM is a trademark of FACEBOOK TM, Inc.

Stelle deine Anfrage!

    Ich interessiere mich für:





    Ich bevorzuge den Kontakt über:
    Telefon
    E-Mail


    Die mit * markierten Felder sind Pflichtfelder.